Utilisée depuis des siècles comme apaisant du système nerveux, la valériane n’est pourtant pas de tout repos pour les narines. Ses racines dégagent en effet une odeur nauséabonde, mélange de vestiaires de sport et d’urine de chat.
Savez-vous d’où provient cette odeur caractéristique ?
Réponse :
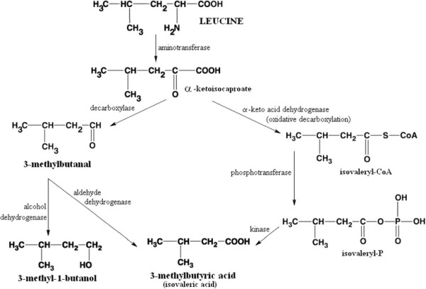
La molécule responsable de la mauvaise odeur de la valériane est l’acide isovalérique, localisé notamment dans les racines de la plante.

Or, cette molécule n’est pas retrouvée uniquement dans la valériane. En effet, certaines bactéries présentes sur la peau, comme Staphylococcus epidermidis, transforment les traces de leucine dans notre sueur en acide isovalérique, responsable de l’odeur de transpiration [1].

De plus, l’acide isovalérique est retrouvé dans les urines de chat. Il sert de marqueur de territoire pour les mâles et de phéromone pour les femelles [2].
Ainsi, nous pouvons bel et bien affirmer scientifiquement que la valériane sent les pieds et l’urine de chat.
Bibliographie :
[1] Ara, Katsutoshi; Hama, Masakatsu; Akiba, Syunichi; Koike, Kenzo; Okisaka, Koichi; Hagura, Toyoki; Kamiya, Tetsuro; Tomita, Fusao (April 2006). Foot odor due to microbial metabolism and its control. Canadian Journal of Microbiology. 52 (4): 357–364.
[2] Bland, K. P. (1979). Tom-cat odour and other pheromones in feline reproduction. Veterinary Science Communications, 3(1), 125-136.


